Triste a aula em que o erro é o vilão…
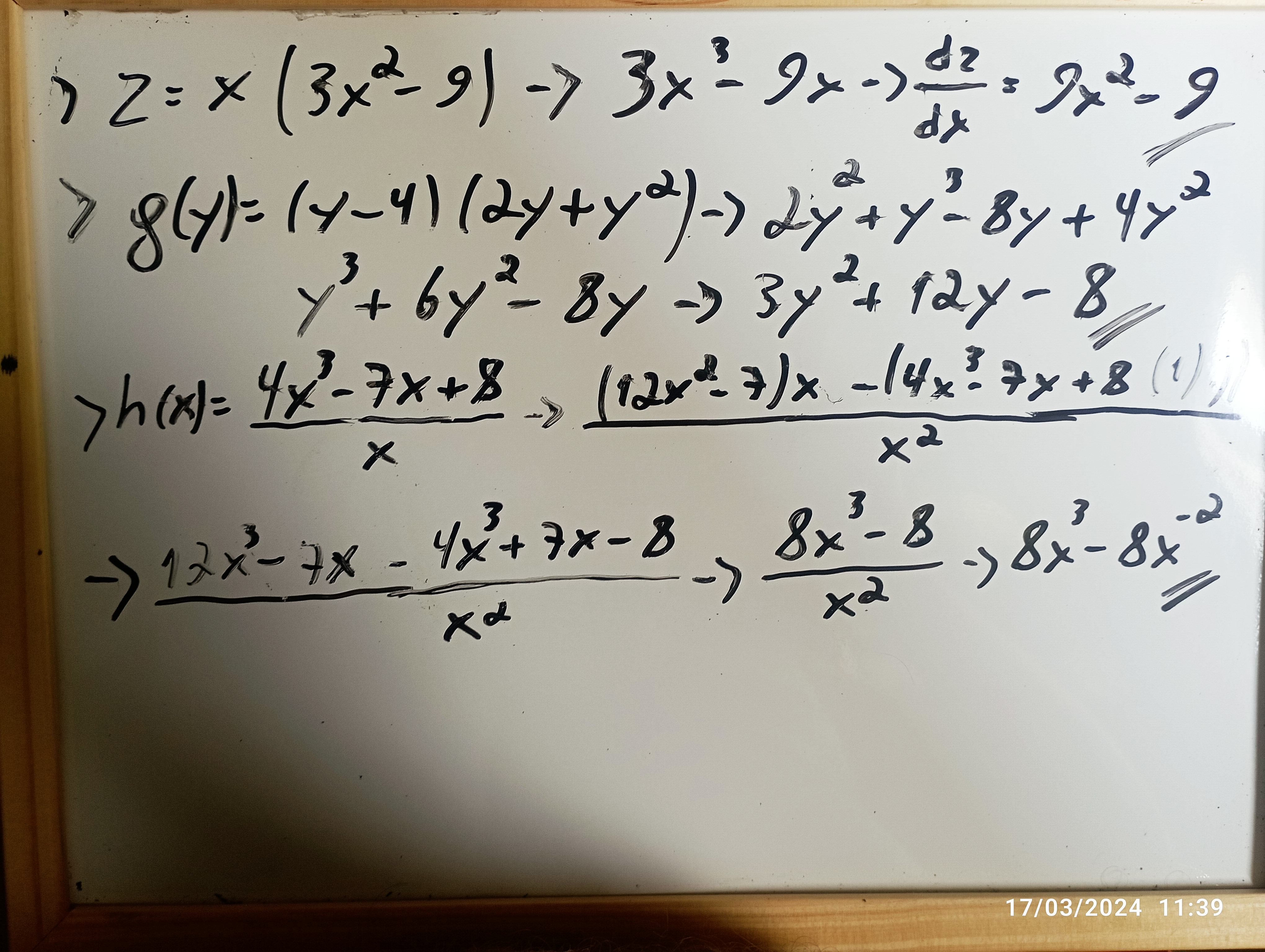
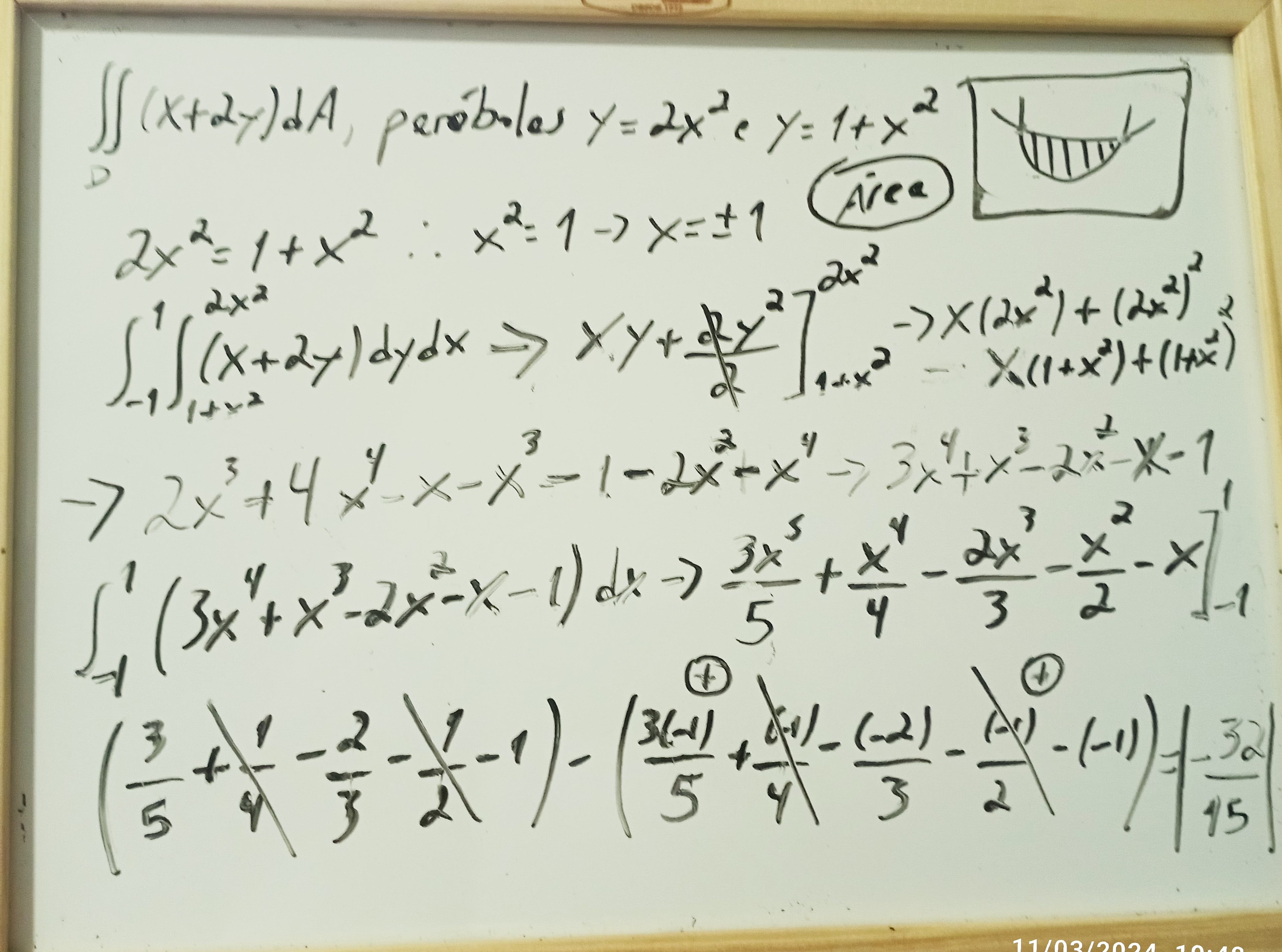
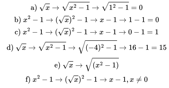
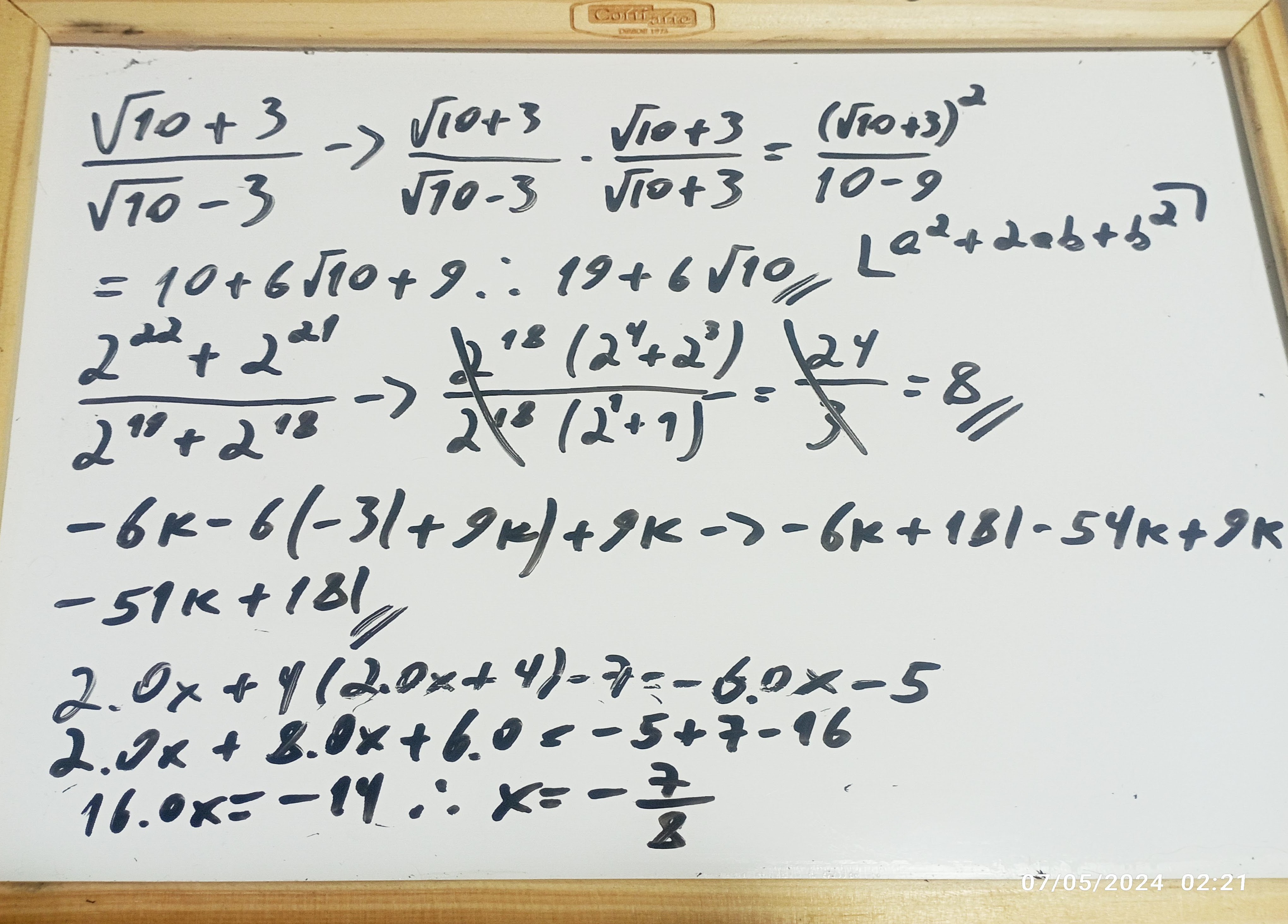
As imagens abaixo contêm anotações feitas em lousa, em quadro-negro, o que estiver mais próximo.
As imagens que não contêm minha caligrafia possuem direitos reservados a seus respectivos criadores.







































































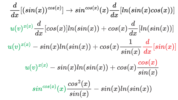
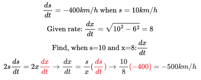
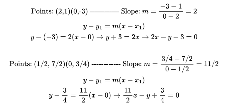
As imagens abaixo contêm anotações feitas em lousa, em quadro-negro, o que estiver mais próximo.
As imagens que não contêm minha caligrafia possuem direitos reservados a seus respectivos criadores.






































































